*
Dit is ‘n internasionale reg dat selfs minderheidsvolke oor hul eie onafhanklikheid en vryheid beskik om hulself in hul eie geskiedkundige gebiede op alle vlakke te regeer. Botswana en Namibië se burgers doen dit, waarom nie die Boere republieke erken wat eens onafhanklik was nie. Die Boere volk het dieselfde regte as enige ander volk in SA, maar hul menseregte is sedert 1902 deur Brittanje en haar medehelpers vernietig.

*
Grondwetregters van 1996 bekragtig die grondwet en gee uitspraak dat geen wet nodig is vir onafhanklikheid van ‘n volk nie, dat politieke partye nie daaroor besluit nie, maar dat daar aan internasionale vereistes voldoen moet word.
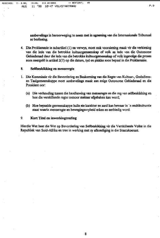
Konsepwetgewing van 1998
Lees deur die konsepwetgewing wat om een of ander rede in 1998 ingedien is, maar weerhou is deur diegene wat betrokke is by die bestuur van VF+. Afskrifte van die geskrifte, wetgewing en korrespondensie, word ook hierby ingesluit.
Op daardie tydstip in 1998 het die politieke party, die VF die ooreenkoms gesluit en die twee Advokate (Senaat) het die nodige wetgewing by die parlement ingedien, wat erkenning van ontvangs deur Mnr Lekota’s ontvang het. Volgens die advokaat was dit veronderstel om weer ingedien te word, wat nooit gedoen is nie.
Dit is na alle waarskynlikheid as gevolg om nie inligting rakende selfbeskikking op die wetboeke te plaas nie. Dis eerder dalk ‘n geval dat die politieke party later beplan het om eerder hulself hieruit te wurm vir ‘n volk se vryheid en het hul nie lank hierna multi-kultuur geword. Dit is hoekom hul hul manifes aangepas het, en selfbeskikking en volkstaat vir een volk vanuit hul manifes te verwyder sodat hul meer lede in politiek kan werf en meer stoele in parlement kan uitoefen.
GRONDWET 1996 UITSPRAAK
Dis duidelik volgens die 1996 uitspraak van die bevestiging van die 1996 Grondwet deur Grondwetregters, dat die ANC nie namens enige volke kan besluit oor hul vryheid en selfbeskikking nie, maar dat daar aan internasionale vereistes voldoen moet word. Geen wet is hiervoor word benodig nie.
QUOTE
Certification of the Constitution of the Republic of South Africa, 1996 (CCT 23/96) [1996] ZACC 26; 1996 (4) SA 744 (CC); 1996 (10) BCLR 1253 (CC) (6 September 1996)
[217] A related contention was that the right to self-determination, including the right to secession, is internationally accepted as a right, and thus should not be subjected to the discretion of Parliament. Thus, if a dispute reached this Court, it should be decided according to objective criteria as determined by international law, and not by whether or not Parliament has passed the requisite legislation.
UNQUOTE
*
Neem verder kennis, geen selfbeskikking kan op grond van “ras” (blank) verkry word nie, maar wel op etniese verband. Boer verband. Zoeloe verband. Khoi san verband.
Die Boere is al vir etlike jare amptelik internasionaal erken deur verskeie konvensies – die Boere republieke het onafhanklikheid geniet. ZAR (Transvaal) en Vrystaat
Engeland en haar vennote het kom oorlog maak in suidelike Afrika met die onafhanklike BOERE republieke, plase en voedsel afgebrand en vernietig, sowel vroue en kinders in moordkampe uitgewis.
British concentration camps ABW (Rudie Rousseau)
Concentration camps by the British empire
Verskroeide aarde – Scorched earth
*
*
*
AKKOORD VAN 1994
Die Akkoord is onderhandel en onderteken onder die interim Grondwet en nie die 1996 Grondwet nie. Daar is bepalinge destyds onderneem en dit is dat daar ‘n wettige mandaat was om die ondersoek waar ons gebiede is, te voltooi.
*
*
*
Die VF hou indiening van wetsontwerp eers terug – hierdie was ‘n nuusberig wat gelukkig gekopieër is, maar of toegemaak/ verwyder deur die betrokke media.
Cobus Grobler – tans die ANC Wes-Kaap provinsiale spreekspersoon,
��� Parlementêre Verslaggewer
KAAPSTAD. Die Vryheidsfront het die indiening van ‘n privaatlede-wetsontwerp oor selfbeskikking vir die Afrikaner gister in die Parlement op aandrang van die ANC teruggehou.
��� Die wenslikheid vir die indiening van die beoogde wetsontwerp oor die Bevordering van Selfbeskikking vir die Afrikaner en die Regte van Minderheidsvolke in die Republiek van Suid-Afrika het voor die Nasionale Raad vir Provinsies se gekose komitee oor Privaatlede se Wetgewende Voorstelle en Petisies gedien.
��� Dit is gedoen net ‘n week voor adj.pres. Thabo Mbeki se belangwekkende debat in die Parlement oor Afrikaners. Adv. Rosier de Ville (LP) en adv. Moolman Mentz was gereed om hul saak te stel.
��� Mnr. Mohamed Surty (ANC-LP) het gevra die VF moet die indiening terughou totdat die verslag van die Volkstaatraad en voorstelle van die Regering én die Departement van Staatkundige Ontwikkeling verkry is. Hy het gesê daar word steeds aan ‘n verslag gewerk nadat dit in al nege provinsies en die Parlement bespreek is.
��� Die VF moet wag omdat die Regering onderneem het om daarna te kyk. Die indiening moet teruggehou word totdat die betrokke minister gevra kan word wat daaraan gedoen is.
��� Die VF se lede was ongeduldig omdat die Regering na hul mening te lank gesloer het om ‘n ander ooreenkoms voor die 1994-verkiesing daaroor na te kom.
��� Genl.maj. Tienie Groenewald (VF-LP) het gesê nog niks het oor dié voortslepende vraagstuk gebeur nie, en die indiening was net ‘n poging om die bal aan die rol te kry.
��� Ná ‘n verdaging om daaroor te koukus, is die toegewing gemaak om die indiening eers terug te hou. Die VF het die reg voorbehou om dit nog voor die verdaging van die huidige sitting van die Parlement oor ‘n week weer in te dien.
��� Luidens die voorstellingsdokument kan verskeie rade vir die Afrikaner ingestel word, en word dié rade en die reg op selfbeskikking kragtens die Grondwet opgeëis.
http://152.111.11.6/argief/berigte/volksblad/1999/03/18/4/26.html
*
*
*
*
*
Navrae hieroor is in Oktober 2015 gedoen.

*
Mnr Lekota het ontvangs erken van die wetgewing wat ingedien is op 9 September 1998 rakende Selfbeskikking en Volkstaat vir die Boere wat ‘n mandaat met die Akkoord behaal het.
*
Toevallig wou Afrikaners tot hede en vandag, ook nie volle onafhanklikheid verkry nie, waar die Boere volk dit wel wou gehad het en wou al die jare hul Boere republieke laat herstel soos wat dit in 1902 was.
Afrikaners is ‘n nasie en nie ‘n volk nie – Afrikaners is multi-kultureel.

Is dit nie interessant dat Lekota gemoeid was in 2003 om die Kommando sisteem af te breek saam Mbeki. WEENS swart bemagtiging implementering – maar die Boere word nie meer beskerm nie en moet self daardie take uitvoer. Hy was destyds Minister van Verdediging,
*
*
*
Neem kennis van die volgende NOTA heel bo-aan op P.2 wat met die “hand” bygevoeg” is, dit was nie in die oorspronklike stukke vervat nie.
Die Akkoord gaan oor multi-kultuur Afrikaners wat die Boere sogenaamd hierby insluit, wat selfbeskikking en volkstaat verlang en was nie verder geken in die land se ontwikkeling na 1994 nie. Afrikaners wil nie ‘n onafhanklike land hê nie, hulle wou dit nog nooit gehad het nie.
Die Afrikaners is ‘n veelvolkige nasie. Dis hulle en hul veelvolkige organisasies selfs politici wat agter alles sit dat die Boere republieke nie herstel sal word nie.
Die Afrikaners kan nie aanspraak maak op Boere gebiede nie.
Dit is Boere volksgenote wat vir dekades en langer as ‘n eeu aandring dat hul Boere republieke herstel moet word soos dit in 1900 was.
Intussen word ons volk nie net verarm en ontmagtig met swart bemagtiging en regstellende aksie wetgewings nie, maar ons word daagliks aangeval, beroof, verkrag en vermoor.
*
RECEIVED: 11.8.1998 VOLKSTAATRAAD

RECEIVED: 11.8.1998 VOLKSTAATRAAD
*
RECEIVED: 11.8.1998 VOLKSTAATRAAD

RECEIVED: 11.8.1998 VOLKSTAATRAAD
RECEIVED: 11.8.1998 VOLKSTAATRAAD

RECEIVED: 11.8.1998 VOLKSTAATRAAD

RECEIVED: 11.8.1998 VOLKSTAATRAAD

RECEIVED: 11.8.1998 VOLKSTAATRAAD

*
It is an international right that peoples have their own independence and freedom to govern themselves in their own territories.
Self-determination and independence, for Boer people.
Study the draft legislation that for some reason was tabled in 1998 but withheld by those involved in running FF+. Copies of the writings are also included here. At that time the FF+ concluded the agreement and the two Advocates submitted the necessary legislation to parliament, which was acknowledged by Mr Lekota’s. According to counsel, it was supposed to be resubmitted, which was never done.
It is also clear according to the 1996 judgment of the confirmation of the 1996 Constitution by Constitutional Judges, that the ANC cannot decide on behalf of peoples about their freedom and self-determination, but that international requirements must be met. Also note, no self-determination can be obtained on the basis of “race” (white), but can be obtained on the basis of ethnicity. No legislation.
The Agreement was negotiated and signed under the interim Constitution and not the 1996 Constitution. There were determinations made at the time and that was that there was a legal mandate to complete the investigation where our areas are.
*
Voor 1994 was daar ‘n skrywe van Mandela aan Constand Viljoen dat hy en sy Exco lede hierdie Selfbeskikkinsooreenkoms steun.
Self-determination – Boer – ANC-Mandela letter (1993)
Selfbeskikking en Volkstaat (Akkoord)
Internasionale reg tot Selfbeskikking
*
Contact Admin:
Admin kan gekontak word by
volksvryheid9@gmail.com
[…] Selfbeskikking – Afrikaner voorgestelde wet 1998 […]
LikeLike
Hoe lyk die voorgestelde gebiede vir Selfbeskikking.
LikeLike
Kaart van voorgestelde dele van Suid Afrika.
LikeLike
Dankie Daan
Lees gerus hier:
https://onafhanklik.com/2019/02/17/self-determination-selfbeskikking-publikasie-1995/
LikeLike
[…] Selfbeskikking – Afrikaner voorgestelde wet 1998 Lekota […]
LikeLike
[…] Selfbeskikking – Afrikaner voorgestelde wet 1998 Lekota […]
LikeLike
[…] Volkstaatraad – Volkstaat council 1994Selfbeskikking L Afrikaner voorgestelde wet 1998 Lekota […]
LikeLike